TIMÉO 18
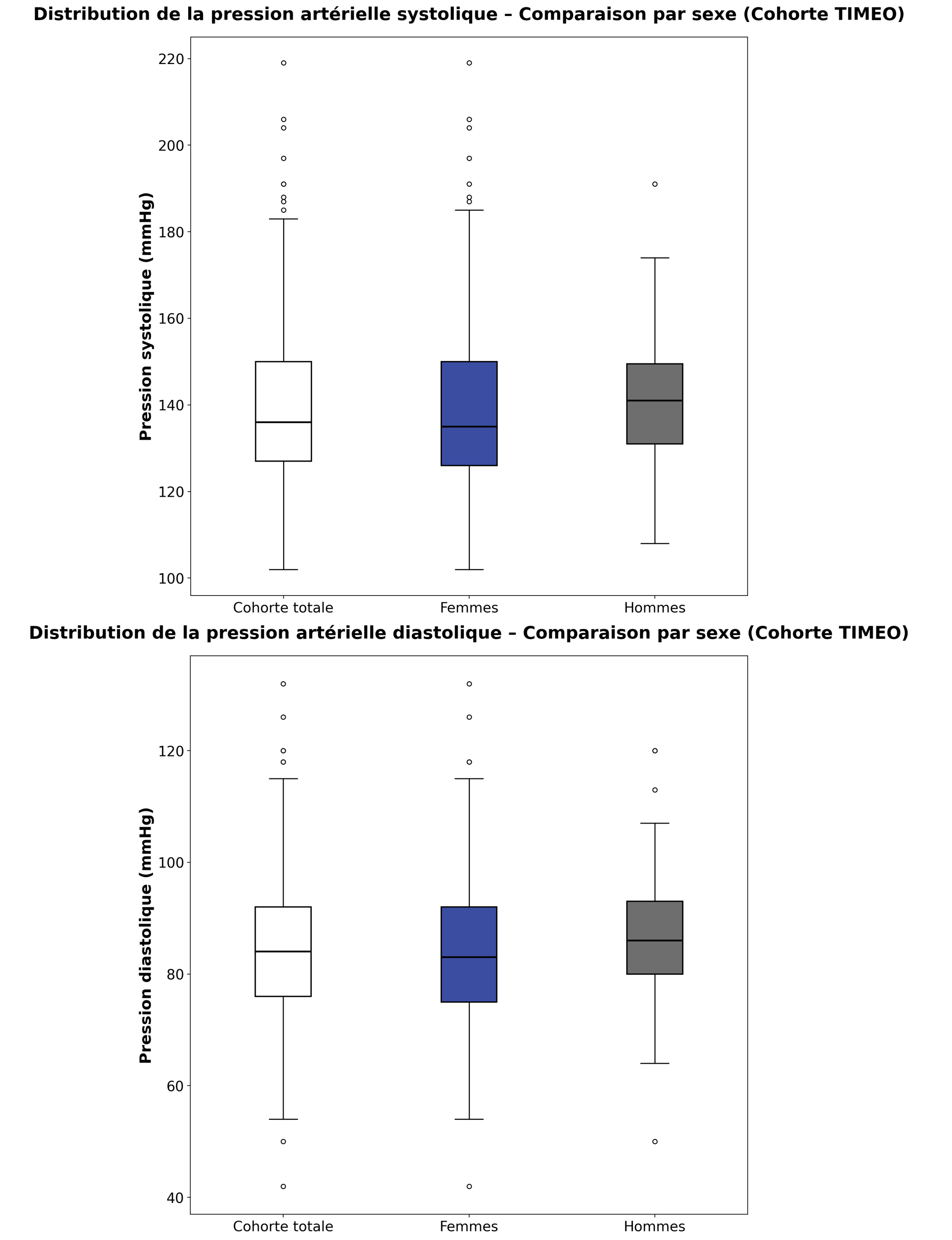
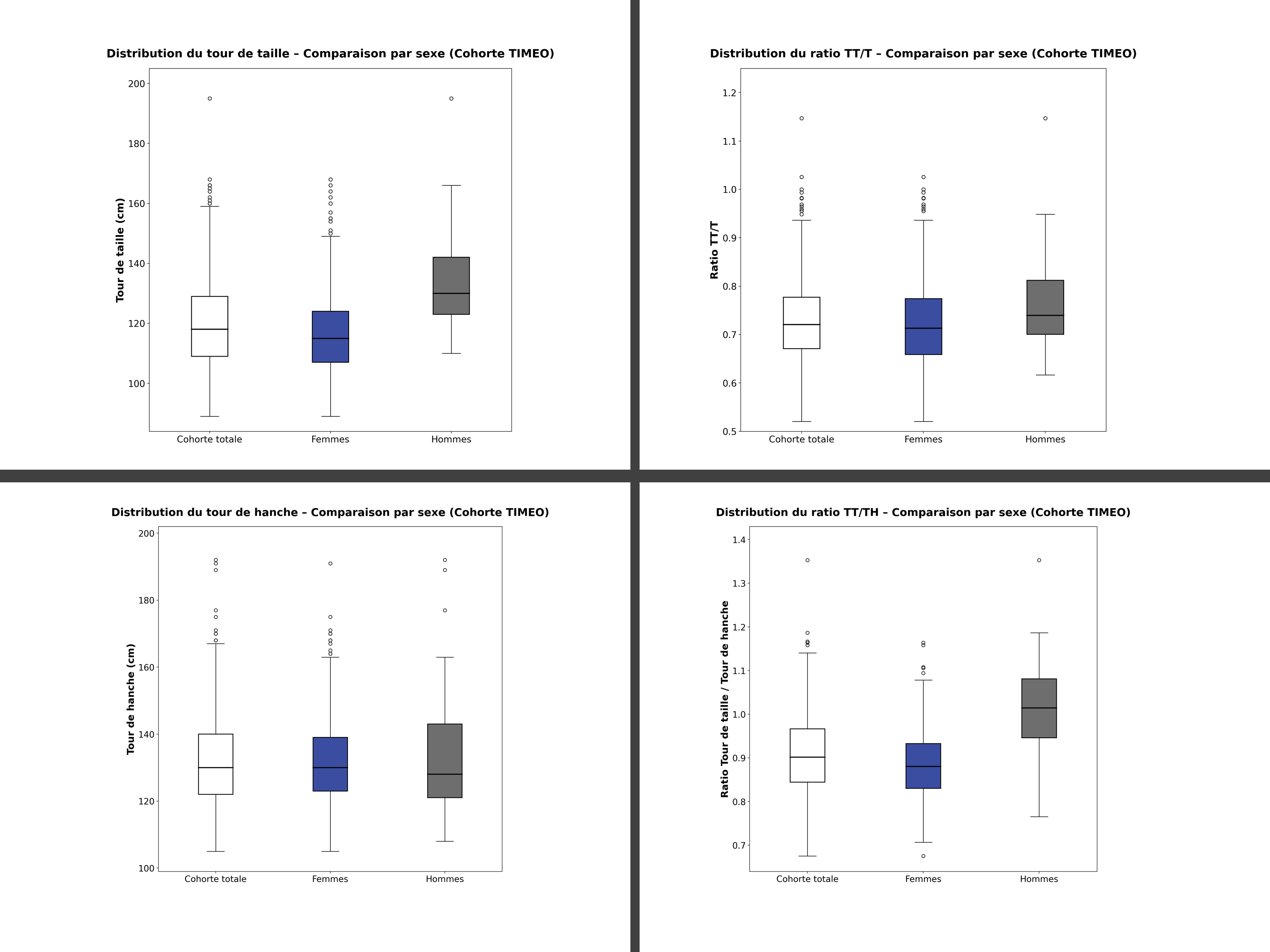
TIMEO est un parcours de soin ville - hôpital fondé sur une évaluation pluridisciplinaire et standardisée des besoins du patient pour la régularisation du poids.
A l'aide d'un algorithme de personnalisation des soins et à travers un système de scoring, l'intensité de la prise en charge pour chaque composante (psychologique, diététique ou activité physique) est déterminée.
NOTRE ÉQUIPE
A.P.A.
Cliquez ci-dessous pour vous inscrire
Coordinateur-trice de soin
Cliquez ci-dessous pour vous inscrire
Docteur BOUDENOT Arnaud
Porteur de projet article 51 - Président de l'Association
Diététicien(ne)
Cliquez ci-dessous pour vous inscrire
Médecin
Cliquez ci-dessous pour vous inscrire
Kinésithérapeute
Cliquez ci-dessous pour vous inscrire
Monsieur LEFERT Romain
Coordinateur de soins
Psychologue
Cliquez ci-dessous pour vous inscrire
Structure Pluridisciplinaire
Cliquez ci-dessous pour vous inscrire
Madame BOUDENOT Vanessa
Chargée relationnel et communication auprès des adhérents et des professionnels
Monsieur ROCHAT Valentin
Enseignant A.P.A et Assistant coordinateur de soins
Madame GUYARD Brigitte
Assistante administrative
AME2P
ARS Centre Val de Loire
Centre Spécialisé de l'Obésité Orléans
Centre Spécialisé de l'Obésité Tours
CPAM Cher
CPTS Berry Vierzon Sologne
Dispositif d'Appui à la Coordination Cher
CPTS Pays de Bourges
Orthocentre Berry Sport
Hôpital Privé Guillaume de Varye
Ministère de la santé
PRIMMO
Syndemix
Association de Patients Experts
AG2R LA MONDIALE
ACTUALITÉS ET PUBLICATIONS
22/07/2023
Anniversaire TIMEO : 1 an déjà ! Premier bilan d'inclusion dans l'expérimentation
04/03/2023
Surpoids et arthrose du genou. Une alimentation anti-inflammatoire réduit la douleur et améliore la qualité de vie
03/03/2023